电阻衰减计算器
2.41 绿色免费版- 软件大小:10 KB
- 更新日期:2018-03-01
- 软件语言:简体中文
- 软件类别:计算器类
- 软件授权:绿化版
- 软件官网:未知
- 适用平台:WinXP, Win7, Win8, Win10, WinAll
- 软件厂商:
软件介绍人气软件相关文章网友评论下载地址
电阻衰减计算器是一款相当简单快捷的电阻衰减计算器工具;可以对计算的类型进行选择,并且操作方面的简单,可以快速的帮助用户上手的操作;只要将需要的各种参数进行输入,点击确的按钮,即可得到各种相关的数值,也无需进行安装,下载解压即可使用,感兴趣的朋友可以来河东软件园将软件进行下载体验试试吧,相信一定不会后悔!

软件功能
衰减类型包括了T性、桥T型等
可以对阻抗进行输入、输出的阻抗输入、衰减量的输入等
支持对图形进行快速的查看
软件特色
软件将所有的功能都进行了集中在一个操作界面上
而且自定义的即可完成设置的输入
使用是相当的简单,体积方面也小
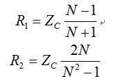
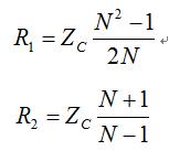
计算公式
对于T型衰减器:

对于PI型衰减器:

使用方法
1、这本站河东下载站下载文件找到"电阻衰减计算Att2001.exe"双击运行;

2、点击软件的应用程序图标即可快速的进入软件的主界面;

3、支持根据用户的使用需求来进行衰减的类型选择;

4、自定义的即可输入您需要的各种计算数值,包括了电阻、阻抗、衰减量等,点击确;

5、点击确之后,即可快速的得到各种阻值,包括了R1R2R3等;

下载地址
-
电阻衰减计算器 2.41 绿色免费版
其他版本下载
- 查看详情铆工大师(钣金展开计算软件) 7.1 绿色免费版3.38 MB简体中文17-05-09
- 查看详情广联达云计价平台GCCP5.0下载(附教程) 5.2 官方最新版322.21 MB简体中文16-09-23
- 查看详情品茗脚手架计算软件 2016 最新免费版179.48 MB简体中文16-11-05
- 查看详情品茗建筑安全计算软件 12.5 官方通用版465.37 MB简体中文19-04-17
- 查看详情refprop(制冷剂物性查询运算软件)附中文教程 9.1 最新免费版6.5 MB简体中文16-09-30
- 查看详情型钢计算软件64位下载 1.0.0.0 绿色版226 KB简体中文17-10-13
- 查看详情nx通用螺旋下刀计算器下载 2017 官方版319 KB简体中文17-04-11
- 查看详情导线测量平差计算软件5.1下载 免费版1.61 MB简体中文17-03-27
- 查看详情热力学软件(HSC Chemistry)下载 7.0 免费版67.9 MB简体中文16-11-04
- 查看详情快算工程量计算稿(免加密狗)下载 9.22 最新免费版23.02 MB简体中文19-04-09
人气软件

钢结构截面特性计算软件204 KB
/简体中文
型钢计算软件64位下载226 KB
/简体中文
cad计算总长度插件215 KB
/简体中文
nx通用螺旋下刀计算器下载319 KB
/简体中文
管线流量流速计算器下载11 KB
/简体中文
鸿业负荷计算软件下载149 MB
/简体中文
晨曦工程量计算式软件下载9.09 MB
/简体中文
热力学软件(HSC Chemistry)下载67.9 MB
/简体中文
sw6 2011v3下载(过程设备强度计算软件)51.6 MB
/简体中文
天仁表格算量软件4.0下载15.7 MB
/简体中文
相关文章
网友评论共0条

Saturn PCB Toolkit(PCB参数计算工具) 7.0.6 最新版
箱涵结构计算软件下载 1.3 免费中文绿色版
Phecal中文版下载 5.0.3 官方免费版
MedCalc(医学计算器) 19.3.0 官方免费版
计算题出题器下载 3.2 绿色版
原木材积计算器下载 3.9 免费版
Free42(科学计算器) 2.5.18 官方版









精彩评论