excel心形函数
免费版- 软件大小:31 KB
- 更新日期:2019-01-10
- 软件语言:简体中文
- 软件类别:办公软件
- 软件授权:免费软件
- 软件官网:未知
- 适用平台:WinXP, Win7, Win8, Win10, WinAll
- 软件厂商:
软件介绍人气软件相关文章网友评论下载地址
excel心形函数可以帮助用户设计心跳类型的图表,让用户在统计数据的时候可以添加新的计算方案,Excel软件提供的统计功能是非常强大的,很多财务数据以及行业数据都在软件分析,内置图表模板也非常多,可以让用户更好管理数据,Excel软件允许通过函数设计新的图表,这里小编提供的excel心形函数就是已经设计完毕的图表,将其加载到表格上就可以直接使用,让用户可以获得心形图标,需要的朋友就下载吧!

软件功能
1、excel心形函数可以直接加载到表格使用,提供多种参数设置
2、可以直接修改单元格的参数控制心形图表
3、软件自带公式,打开表格就可以显示公式
4、不提供exe程序,函数保存为xls格式
5、支持在Excel软件使用,也支持在WPS表格使用
6、需要配置VBA控件,可以通过宏的方式启动函数
软件特色
1、excel心形函数是一个函数模板,加载到软件就可以直接使用
2、如果你不会设计这种类型的模板就可以到河东下载
3、可以节约你自己设计函数的时间
4、可以为你提供新的图表,可以更好管理数据
5、适合需要在表格上处理数据的朋友使用
6、excel心形函数是免费的,心形的颜色可以在表格上调整
使用方法
1、下载心形函数.xlsm直接打开,软件可以自动在表格上出现你需要的函数内容

2、如图所示,显示的形函数效果图就是这样的,用户可以在软件编辑函数公式

3、公式在软件顶部显示,变量值可以在表格调整,由于小编不会编辑表格函数,这里就不介绍了

4、如果你觉得自己设计形函数比较复杂就可以直接到河东软件下载现有的数据

5、你需要启动VAB才能运行宏,最好是将这款软件加载到Excel软件上使用,加载到wps可能有限制

6、用户需要启动宏才能正常使用函数,如果是Excel软件就可以直接打开宏

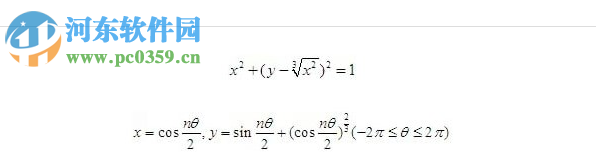
参数方程

首先, 先调出“滚动条”窗体控件:点击Excel的最左上角图标;选择右下角的“Excel选项”;选择“常用”,在“在功能区显示‘开发工具‘选项卡”复选框打钩,按确定;单击“开发工具”选项卡,在“控件”组中单击“插入”,再单击“窗体控件”下的“滚动条”即可。

然后, 设置数据。思路:把θ的所在区间平均分为200份,然后计算(nθ)/2,通过“滚动条”,控制“n”的变化,再通过参数方程分别计算x、y的值,最后通过“散点图”作出相应图形。
下载地址
-
excel心形函数 免费版
人气软件
501 MB
/简体中文1.58 GB
/简体中文143.0 MB
/简体中文
Microsoft Office 2016精简三合一自定义版本279 MB
/简体中文55.1 MB
/简体中文501 MB
/简体中文605.92 MB
/简体中文20.9 MB
/简体中文3.47 GB
/简体中文92.5 MB
/简体中文
相关文章
网友评论共0条

罗刚君E灵(Excel增强插件) 12.0 绿色版
晨旺财务软件excel版下载 2019.5.0.30 最新版
LibreOffice(免费办公软件) 6.4.4.2 官方中文版
Edraw Project下载(亿图项目管理软件) 1.4 官方版







精彩评论